Particle Technology

fluidisation

Problems 7.8

Question 2.v


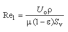
The Modified Reynolds number is:
Modified Reynolds number


Was the use of the Kozeny-Carman equation justified?

a) yes
b) no
Note, none.

Hint Calculator Ready to move on

Home      Book download      Video solutions      Interactive problems      Problem solutions      Size Analysis Expert system