Particle Technology

Filtration

Problems 4.10

Question 5.2

Constant pressure filtration - scale up


A pilot experiment used a filter of 0.1 m2 area at a constant pressure of 68.5x104 Pa. The filtrate viscosity was 0.0015 Pa s, slurry concentration was 3% w/w, cake concentration was 52% w/w and the liquid density was 1000 kg m-3.

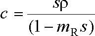
The moisture ratio was 1.92 and the equation for dry cake mass per unit volume filtrate is:
dry cake mass per unit volume filtrate equation


The dry solids per unit volume of filtrate was (kg m-3):

a) 30.9
b) 1080
c) 17.3
d) 31.8

Hint Calculator Ready to move on

Home      Book download      Video solutions      Interactive problems      Problem solutions      Size Analysis Expert system