Particle Technology

Filtration

Problems 4.10

Question 2.vi

The specific surface of the chalk is 3x106 m-1 and the cake can be assumed to have had a porosity of 50%.


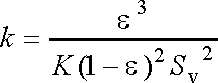
Permeability by the Kozeny-Carman equation is obtained by comparing Darcy's law with the Kozeny-Carman equation; this gives the permeability as
filter cake permeability
hence the SI unit is m2. The Kozeny constant is often 5.


The permeability of the cake was (m2):

  a) 1.1x10-14
b) 9x1013
c) 3.3x10-8
d) 3x107
Note, you need to work in term of fractional porosity not %

Hint Calculator Ready to move on

Home      Book download      Video solutions      Interactive problems      Problem solutions      Size Analysis Expert system